nice repainter
Re: MT4 Indicators with alerts/signals
4232bro
see my settings. i just use std. fractal where adjacent fractal signal
it never repaint beacuse after 3rd bar or higher only it breakout happens
"There is NO GOD higher than TRUTH" - Mahatma Gandhi
Re: MT4 Indicators with alerts/signals
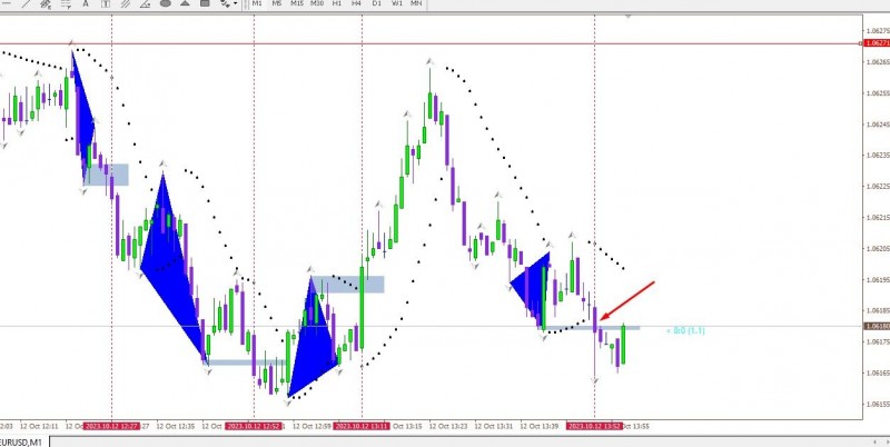
4233see this recent drawn breakout triangle where i post earlier position .. smart 
"There is NO GOD higher than TRUTH" - Mahatma Gandhi
Re: MT4 Indicators with alerts/signals
4234see signal
for binary ,, good..
for binary ,, good..
- These users thanked the author sal for the post:
- Chickenspicy
- Rating: 0.6%
"There is NO GOD higher than TRUTH" - Mahatma Gandhi
Re: MT4 Indicators with alerts/signals
4235Is there any engulfing-pinbar indicator that alerts for this kind of candle?
Re: MT4 Indicators with alerts/signals
4236mr.tools
can you please fix the error of this old indicator (mtf)
can you please fix the error of this old indicator (mtf)
"There is NO GOD higher than TRUTH" - Mahatma Gandhi
Re: MT4 Indicators with alerts/signals
4237Hey @mr.tools whats your word on this request? No help? Just curious.ItalianTrader wrote: Mon Oct 09, 2023 3:13 am Hello mr. tools I need your help. I use this indicator for my strategy and I have no MQ.4 but I think if you execute it you will see how it works it is just a reversal indicator a kind of nonrepaint semaphore. I have 2 problems with it: a) I cannot control the alerts b) I need also to control the distribution more. Can you kindly remake the same indicator functionally and enable a) I control alerts and b) add standard deviation as a control option for the distribution of the arrows? I will be very grateful for your help it is very important for me thank you
(-_-)
Re: MT4 Indicators with alerts/signals
4238Have no clue on the inner workings of the indicator since it is ex4 would be guessing otherwise.Darkdoji wrote: Mon Oct 16, 2023 10:01 am Hey @mr.tools whats your word on this request? No help? Just curious.
(-_-)
- Rating: 1.2%
Shalom Shalom! 
Re: MT4 Indicators with alerts/signals
4239In some EA codes you see codes that limit trading hours, such as Exp_SpearmanRankCorrelation_Histogram_TimeWeekPeriod.mrtools wrote: Mon Oct 16, 2023 10:25 am Have no clue on the inner workings of the indicator since it is ex4 would be guessing otherwise.
From this, I thought: can the teacher add the alarm time to your masterpiece (alarm indicator).
For example, specify AVGS MACD Digital Kahler (MTF) to alarm in London and New York, but not in Asia and Oceania?
That is, add a "throttling time" for the alert?
Re: MT4 Indicators with alerts/signals
4240Not sure, will see if I am able to do it.太虚一毫 wrote: Tue Oct 24, 2023 5:40 pm In some EA codes you see codes that limit trading hours, such as Exp_SpearmanRankCorrelation_Histogram_TimeWeekPeriod.
From this, I thought: can the teacher add the alarm time to your masterpiece (alarm indicator).
For example, specify AVGS MACD Digital Kahler (MTF) to alarm in London and New York, but not in Asia and Oceania?
That is, add a "throttling time" for the alert?
- Rating: 0.6%
Shalom Shalom! 