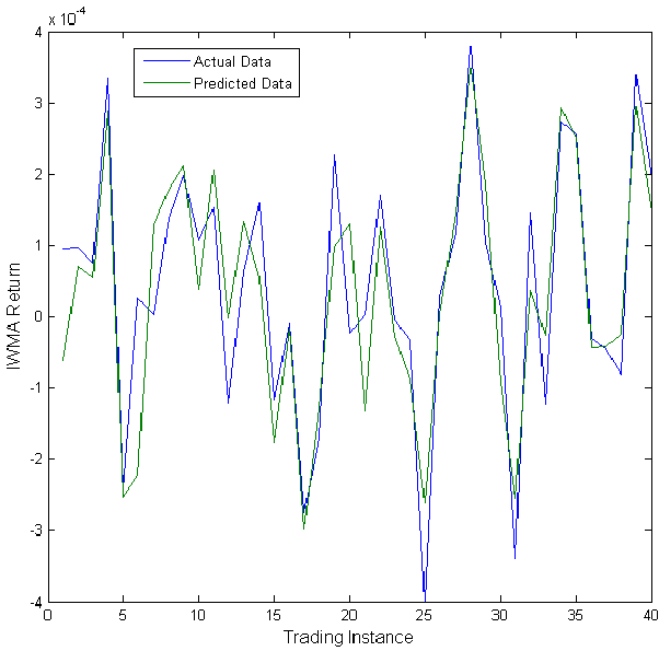
ÂThe Foreign Exchange Market is the biggest and one of the most liquid markets in the world. This market has always been one of the most challenging markets as far as short term prediction is concerned. Due to the chaotic, noisy, and non-stationary nature of the data, the majority of the research has been focused on daily, weekly, or even monthly prediction. The literature review revealed that there is a gap for intra-day market prediction. Identifying this gap, this paper introduces a prediction and decision making model based on Artificial Neural Networks (ANN) and Genetic Algorithms. The dataset utilized for this research comprises of 70 weeks of past currency rates of the 3 most traded currency pairs: GBPUSD, EURGBP, and EURUSD. The initial statistical tests confirmed with a significance of more than 95% that the daily FOREX currency rates time series are not randomly distributed. Another important result is that the proposed model achieved 72.5% prediction accuracy. Furthermore, implementing the optimal trading strategy, this model produced 23.3% Annualized Net Return.
1
Re: Neural networks for trading
3Hi seekers
Thanks for your managing time to keep us updating our knowledge according to current requirements,appreciations for your worth efforts.
regards
Thanks for your managing time to keep us updating our knowledge according to current requirements,appreciations for your worth efforts.
regards
Indicator is just a tool.
Use it only if it can benefit you. Leave it if you don't know how to use it optimally.
Use it only if it can benefit you. Leave it if you don't know how to use it optimally.
Re: Neural networks for trading
4The Foreign Exchange Market is the biggest and one of the most liquid markets in the world.
This market has always been one of the most challenging markets as far as short term prediction is concerned.
Due to the chaotic, noisy, and non-stationary nature of the data, the majority of the research has been focused on daily, weekly, or even monthly prediction.
The literature review revealed that there is a gap for intra-day market prediction. Identifying this gap, this paper introduces a prediction and decision making model based on Artificial Neural Networks (ANN) and Genetic Algorithms.
The dataset utilized for this research comprises of 70 weeks of past currency rates of the 3 most traded currency pairs: GBP\USD, EUR\GBP, and EUR\USD. The initial statistical tests confirmed with a significance of more than 95% that the daily FOREX currency rates time series are not randomly distributed.
Another important result is that the proposed model achieved 72.5% prediction accuracy. Furthermore, implementing the optimal trading strategy, this model produced 23.3% Annualized Net Return.
This market has always been one of the most challenging markets as far as short term prediction is concerned.
Due to the chaotic, noisy, and non-stationary nature of the data, the majority of the research has been focused on daily, weekly, or even monthly prediction.
The literature review revealed that there is a gap for intra-day market prediction. Identifying this gap, this paper introduces a prediction and decision making model based on Artificial Neural Networks (ANN) and Genetic Algorithms.
The dataset utilized for this research comprises of 70 weeks of past currency rates of the 3 most traded currency pairs: GBP\USD, EUR\GBP, and EUR\USD. The initial statistical tests confirmed with a significance of more than 95% that the daily FOREX currency rates time series are not randomly distributed.
Another important result is that the proposed model achieved 72.5% prediction accuracy. Furthermore, implementing the optimal trading strategy, this model produced 23.3% Annualized Net Return.
Re: Neural networks for trading
5This paper is submited for publication on IEEE Transcations for Neural Networks and Learning System (ID: TNNLS-2016-P-6504) This paper presents a novel online adaptive neuro-computing framework for a robust time-series forecast.
The proposed framework does mimic the human mind's biological two-thinking model. Our mind makes decisions/calculations using a two-connected system.
A first system, System 1, the so-called the intuitive system, makes decisions based on our experience. A second system, System 2, the controller system, does control the decisions of System 1 by either modifying or trusting them. Similarly to the human mind's two-systems model, this paper proposes an artificial framework consisting of two cellular neural network (CNN) systems. The first CNN processor does represent the intuitive system and we call it Intuitive-CNN. The Second CNN processor does represent the controller system, which is called Controller-CNN. Both are connected within a general framework that we name OSA-CNN.
The proposed framework is extensively tested, validated and benchmarked with the best state-of-the-art related methods, while involving real field time-series data. Multiple scenarios are considered: traffic flow data extracted from the PeMs traffic database and the 111 time-series collected from the so-called NN3 competitions.
The novel OSA-CNN concept does remarkably highly outperform the state-of-the-art competing methods regarding both performance and universality. Index Terms—Time-series forecast (TFS), Cellular neural networks (CNN), Echo state network (ESN), Model reference neural network adaptive control (MRNNAC), Recursive particle swarm optimization (RPSO), Online self-adaptive CNN (OSA-CNN)
The proposed framework does mimic the human mind's biological two-thinking model. Our mind makes decisions/calculations using a two-connected system.
A first system, System 1, the so-called the intuitive system, makes decisions based on our experience. A second system, System 2, the controller system, does control the decisions of System 1 by either modifying or trusting them. Similarly to the human mind's two-systems model, this paper proposes an artificial framework consisting of two cellular neural network (CNN) systems. The first CNN processor does represent the intuitive system and we call it Intuitive-CNN. The Second CNN processor does represent the controller system, which is called Controller-CNN. Both are connected within a general framework that we name OSA-CNN.
The proposed framework is extensively tested, validated and benchmarked with the best state-of-the-art related methods, while involving real field time-series data. Multiple scenarios are considered: traffic flow data extracted from the PeMs traffic database and the 111 time-series collected from the so-called NN3 competitions.
The novel OSA-CNN concept does remarkably highly outperform the state-of-the-art competing methods regarding both performance and universality. Index Terms—Time-series forecast (TFS), Cellular neural networks (CNN), Echo state network (ESN), Model reference neural network adaptive control (MRNNAC), Recursive particle swarm optimization (RPSO), Online self-adaptive CNN (OSA-CNN)
Re: Neural networks for trading
6Effectiveness of the use of neural-net technology for the solving of shell theory problems is shown. Some results of neural-net interpolation and extrapolation for direct and inverse problems are discussed. Exact accuracy of neural-net solving opens wide latitude for shell constructions engineering design and optimization.
Re: Neural networks for trading
7Is there any product like expert advisor, that you find interesting, that helps us in winning in forex markets, using neural networks?
Re: Neural networks for trading
8This paper is submited for publication on IEEE Transcations for Neural Networks and Learning System (ID: TNNLS-2016-P-6504) This paper presents a novel online adaptive neuro-computing framework for a robust time-series forecast. The proposed framework does mimic the human mind's biological two-thinking model. Our mind makes decisions/calculations using a two-connected system. A first system, System 1, the so-called the intuitive system, makes decisions based on our experience. A second system, System 2, the controller system, does control the decisions of System 1 by either modifying or trusting them. Similarly to the human mind's two-systems model, this paper proposes an artificial framework consisting of two cellular neural network (CNN) systems. The first CNN processor does represent the intuitive system and we call it Intuitive-CNN. The Second CNN processor does represent the controller system, which is called Controller-CNN. Both are connected within a general framework that we name OSA-CNN. The proposed framework is extensively tested, validated and benchmarked with the best state-of-the-art related methods, while involving real field time-series data. Multiple scenarios are considered: traffic flow data extracted from the PeMs traffic database and the 111 time-series collected from the so-called NN3 competitions. The novel OSA-CNN concept does remarkably highly outperform the state-of-the-art competing methods regarding both performance and universality. Index Terms—Time-series forecast (TFS), Cellular neural networks (CNN), Echo state network (ESN), Model reference neural network adaptive control (MRNNAC), Recursive particle swarm optimization (RPSO), Online self-adaptive CNN (OSA-CNN)
Re: Neural networks for trading
9The Foreign Exchange Market is the biggest and one of the most liquid markets in the world. This market has always been one of the most challenging markets as far as short term prediction is concerned. Due to the chaotic, noisy, and non-stationary nature of the data, the majority of the research has been focused on daily, weekly, or even monthly prediction. The literature review revealed that there is a gap for intra-day market prediction. Identifying this gap, this paper introduces a prediction and decision making model based on Artificial Neural Networks (ANN) and Genetic Algorithms. The dataset utilized for this research comprises of 70 weeks of past currency rates of the 3 most traded currency pairs: GBP\USD, EUR\GBP, and EUR\USD. The initial statistical tests confirmed with a significance of more than 95% that the daily FOREX currency rates time series are not randomly distributed. Another important result is that the proposed model achieved 72.5% prediction accuracy. Furthermore, implementing the optimal trading strategy, this model produced 23.3% Annualized Net Return.
Re: Neural networks for trading
10This paper shows how the performance of the basic Local Linear Wavelet Neural Network model (LLWNN) can be improved with hybridizing it with fuzzy model. The new improved LLWNN based Neurofuzzy hybrid model is used to predict two currency exchange rates i.e. the U.S. Dollar to the Indian Rupee and the U.S. Dollar to the Japanese Yen. The forecasting of foreign exchange rates is done on different time horizons for 1 day, 1 week and 1 month ahead. The LLWNN and Neurofuzzy hybrid models are trained with the backpropagation training algorithm. The two performance measurers i.e. the Root Mean Square Error (RMSE) and the Mean Absolute Percentage Error (MAPE) show the superiority of the Neurofuzzy hybrid model over the LLWNN model.Â