Earlier -2022!
Re: МТ4 Trading Systems: WORKSTATION
372:o
"Only the price on the chart can show the entrance to the deal..."
Re: МТ4 Trading Systems: WORKSTATION
373"Only the price on the chart can show the entrance to the deal..."
Re: МТ4 Trading Systems: WORKSTATION
374What purpose?
How many offers on earnings, reliable strategies, unique systems, simple trading plans have you already received?
Incredible amount! And every trader shows benefits, proves its uniqueness, it demonstrates enviable results and wants to see You.
Just stop and think for a minute... And where to get a reliable support to the entry level, a small Deposit quickly enough and without pain of losing money, yet to go to earnings on the stock exchange and do it constantly?
Good to talk to those who on account of tens of thousands of dollars... And what can we do? — You Might Say... I love trading, always learning and looking for the most simple solutions that don't drown in theory, does not require dozens of years for development, and help beginners with a small
Deposit to quickly find and earn. Do not sit at the monitor, namely to EARN.
To a pain a familiar situation, right?
Now imagine that right in front of you, just hold out your hand and take, is a ready and clear system that allows you to consistently earn a lot on Forex. She makes you a real master of her destiny and gives you so much money that everyone will envy you.
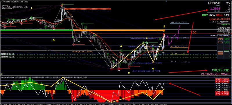
Take today's example. The price should go so
GBP
Sell after an unsuccessful rising above 1.3993, or just on the rebound from 1.4064 with the target 1.3950 and 1.3909.
If we go down, I look at the purchase of a false breakout from 1.3909, or rebound from 1.3855.
The target is the middle of 1.3950 channel.
How many offers on earnings, reliable strategies, unique systems, simple trading plans have you already received?
Incredible amount! And every trader shows benefits, proves its uniqueness, it demonstrates enviable results and wants to see You.
Just stop and think for a minute... And where to get a reliable support to the entry level, a small Deposit quickly enough and without pain of losing money, yet to go to earnings on the stock exchange and do it constantly?
Good to talk to those who on account of tens of thousands of dollars... And what can we do? — You Might Say... I love trading, always learning and looking for the most simple solutions that don't drown in theory, does not require dozens of years for development, and help beginners with a small
Deposit to quickly find and earn. Do not sit at the monitor, namely to EARN.
To a pain a familiar situation, right?
Now imagine that right in front of you, just hold out your hand and take, is a ready and clear system that allows you to consistently earn a lot on Forex. She makes you a real master of her destiny and gives you so much money that everyone will envy you.
Take today's example. The price should go so
GBP
Sell after an unsuccessful rising above 1.3993, or just on the rebound from 1.4064 with the target 1.3950 and 1.3909.
If we go down, I look at the purchase of a false breakout from 1.3909, or rebound from 1.3855.
The target is the middle of 1.3950 channel.
Re: МТ4 Trading Systems: WORKSTATION
376Several times I took the amount of "safe" by the method of Dmitriev.
The morning forecast was made in the morning on H1, H4, D1. The main work was done on M1-M5, looking at the M15
The morning forecast was made in the morning on H1, H4, D1. The main work was done on M1-M5, looking at the M15
Re: МТ4 Trading Systems: WORKSTATION
379Hello amdudus, the question of the century: you know the best indicator to determine a trend of 15, 30 minutes?Thanks!
Re: МТ4 Trading Systems: WORKSTATION
380The second and last day I do the publication of day work in order to show the performance of the trading strategy.
From it depends 50% success, and 50%-from your training.
With the most morning 08.02. as a result of the analysis,it became clear that the EUR scenario would be as follows:
We worked out an important level of 1.2250.I think the second test will lead to an update of yesterday's lows and a false breakout. The formation of the diver on MACD and the return to 1.2250 is a good signal for long with a target of 1.2301 and 1.2339.
Sale look only after failing to get above 1.2301, or to rebound from 1.2339. If you fail 1.2250, there is a probability of at 1.2216, where to buy immediately on the rebound.
I put my BUY order at 1.2232 and left in other cases.
Then I closed the warrant for 1.2279 ("put the money in the safe»)
From it depends 50% success, and 50%-from your training.
With the most morning 08.02. as a result of the analysis,it became clear that the EUR scenario would be as follows:
We worked out an important level of 1.2250.I think the second test will lead to an update of yesterday's lows and a false breakout. The formation of the diver on MACD and the return to 1.2250 is a good signal for long with a target of 1.2301 and 1.2339.
Sale look only after failing to get above 1.2301, or to rebound from 1.2339. If you fail 1.2250, there is a probability of at 1.2216, where to buy immediately on the rebound.
I put my BUY order at 1.2232 and left in other cases.
Then I closed the warrant for 1.2279 ("put the money in the safe»)