What is its name? Is it suitable for binary trading? Kindly share the indicator, if available.vvFish wrote: Sun Jul 05, 2020 1:22 am
![]()
Express your request more precisely.
What indicators do you want to determine?
Re: Identify This Indicator
902chakweshad wrote: Sun Jul 05, 2020 1:31 am
What is its name? Is it suitable for binary trading? Kindly share the indicator, if available.
Which one?
"Only the price on the chart can show the entrance to the deal..."
Re: Identify This Indicator
903As vvFish said, please be more specific, there's indicators and objects all over that chart manchakweshad wrote: Sun Jul 05, 2020 1:31 am What is its name? Is it suitable for binary trading? Kindly share the indicator, if available.
Re: Identify This Indicator
904chakweshad wrote: Sun Jul 05, 2020 1:31 am What is its name? Is it suitable for binary trading? Kindly share the indicator, if available.
Official Forex-station GIF animator at your service 
See a GIF with Forex-station.com on it? I probably made it
The best divergence indicator in the world.
Real news exists: Infowars.com
See a GIF with Forex-station.com on it? I probably made it
The best divergence indicator in the world.
Real news exists: Infowars.com
Re: Identify This Indicator
906Uh, mladen said "Extreme Spike" indicator repaints.mladen wrote: Thu Oct 19, 2017 5:07 pm Whatever it tells, it will repaint even when it tells that it will not
Example :
- above is when it finishes running the tests ("no repaint" mode)
- below is the same thing is attached after tests are finished ("no repaint" mode) too
ie: it repaints regardless of the "no repaint" mode (and it repaints more than what is seen on the example, since run-time changes are going to be even bigger).
Don't use it.
- These users thanked the author Banzai for the post:
- chakweshad
Re: Identify This Indicator
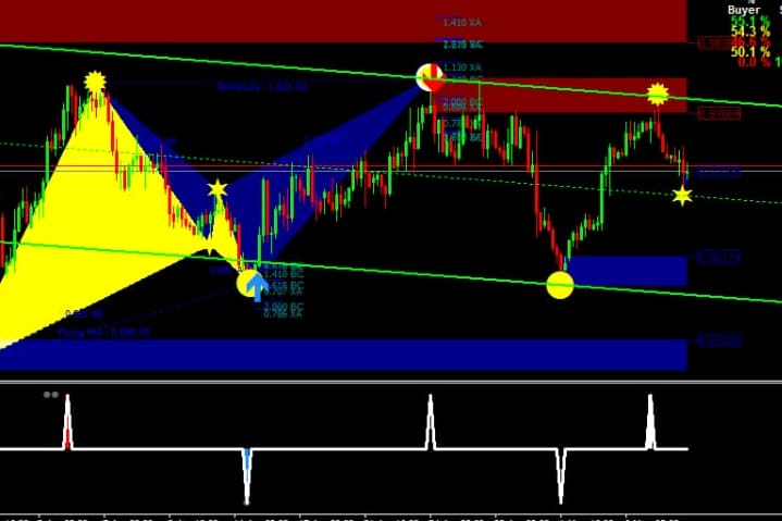
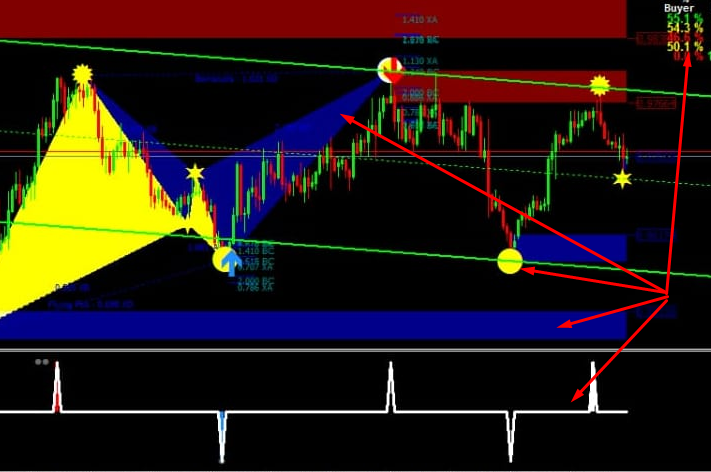
907Anyone know what the line with the arrow indicator is as well as the scissors indicator? I'm assuming that the line with the arrow is a zig-zag indicator, so it repaints, but I'm curious to see if it is and test it out. Also, I'm super curious about the scissors indicator that shows when to get out.
Thanks
Thanks
Re: Identify This Indicator
908Catch it. Its support and ressistances indicator take care repaint.rain wrote: Sun Jul 05, 2020 10:35 am Anyone know what the line with the arrow indicator is as well as the scissors indicator? I'm assuming that the line with the arrow is a zig-zag indicator, so it repaints, but I'm curious to see if it is and test it out. Also, I'm super curious about the scissors indicator that shows when to get out.
Thanks
Re: Identify This Indicator
909Thank you, someone is trying to sell it as "the best US30 template" for $200 on FB right now. I could tell it had to be repainting but was just curious to prove my suspicions.Cladi39 wrote: Sun Jul 05, 2020 11:39 am
Catch it. Its support and ressistances indicator take care repaint.