• Login
  • Register
    • Unanswered topics
    • Active topics
    • Forex Calendar
  1. Home
  2. Board index
  3. MetaTrader Forum
  4. MT4 Indicators

Identify This Indicator

Post Reply Attachments 1099
  1. Home
  2. Board index
  3. MetaTrader Forum
  4. MT4 Indicators
  • 1
  • …
  • 88
  • 89
  • 90
  • 91
  • 92
  • …
  • 166
Page 90 of 166
1652 posts
Display posts from previous
Sort by
  • Print view
User avatar
Jimmy
Site Owner & Moderator
Posts:
6228
Joined:
February 2017
Location:
Australia
Platform:
CQG & Bloomberg Term for Futures, MT4 & PRT for Spot FX
Indicator:
Original TDI (Default) 📈
Been thanked:
7192 times

Re: Identify This Indicator

891 by Jimmy
hercules98 wrote: Fri Jun 26, 2020 7:48 pm perfavore qualcuno ha questo indicatore?
Post moved to correct topic. Welcome to the site!
Myfxbook live trading results 📊

List of our most powerful reversal indicators + Guide to the "All Averages" Filters (ADXvma, Laguerre etc.)
Fibonacci numbers for indicator settings + How to draw Fibonacci Extensions + How to draw Support & Resistance
  • Quote
  • Fri Jun 26, 2020 7:59 pm


BizanJunior
BizanJunior
Inactive Member
Posts:
14
Joined:
June 2020
Location:
Brasil
Platform:
mt4
Indicator:
camarila
Been thanked:
6 times

Re: Identify This Indicator

892 by BizanJunior
BREEZY wrote: Thu Jun 25, 2020 6:32 am

Guys may you please make it an end point so that it does not repaint if its possible... Please
Hello! This indicator is more successful in times of divergence.
For example: MACD 20/40/10 or CCI 40 for H1 or less. Or CCI 20 for H4 or more.
Hope this helps...
  • Quote
  • Sat Jun 27, 2020 12:38 pm
flayy520
flayy520
Inactive Member
Posts:
3
Joined:
January 2020
Location:
Malaysia
Platform:
Fxpro
Indicator:
StochRSI
Been thanked:

ChartSomeone know this indicators? or same indicators with this

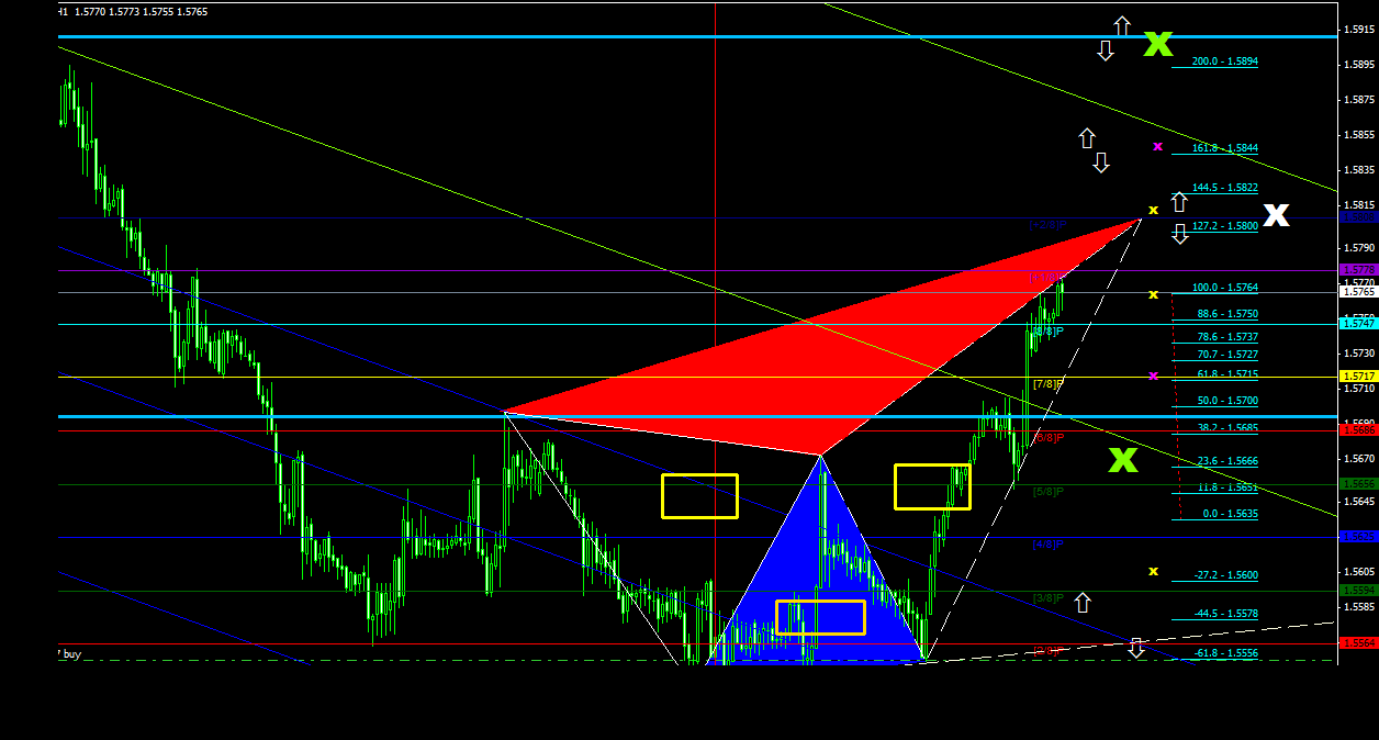
893 by flayy520
Help!!!
1.png
Cynthia's_Triangle_Breakout.ex4 Downloaded 682 times 27.52 KiB
  • Quote
  • Sun Jun 28, 2020 8:07 am
flayy520
flayy520
Inactive Member
Posts:
3
Joined:
January 2020
Location:
Malaysia
Platform:
Fxpro
Indicator:
StochRSI
Been thanked:

IdeaRe: Identify This Indicator

894 by flayy520
Hi all, everyone know this indicators?
WeChat Image_20200629030132.png
  • Quote
  • Mon Jun 29, 2020 5:02 am
User avatar
pi_369
Active Member
Posts:
41
Joined:
April 2020
Location:
United Kingdom
Platform:
metatrader 4
Indicator:
price action
Been thanked:
27 times

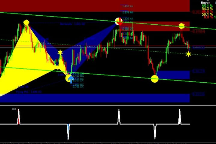
Is this harmonic? double top / bottom? ZUP?

895 by pi_369
Can someone please identify this indicator?
gbpcad_1h_022.gif
usdchf_4h_022.gif
  • Quote
  • Thu Jul 02, 2020 4:21 am


User avatar
pi_369
Active Member
Posts:
41
Joined:
April 2020
Location:
United Kingdom
Platform:
metatrader 4
Indicator:
price action
Been thanked:
27 times

Re: Identify This Indicator

896 by pi_369
hercules98 wrote: Fri Jun 26, 2020 7:48 pm perfavore qualcuno ha questo indicatore?
The indicator called Action Threshold System (ATS). It is paid system but you can get it somewhere for free.
  • Quote
  • Thu Jul 02, 2020 4:23 am
notice
notice
Active Member
Posts:
110
Joined:
March 2020
Location:
Viet Nam
Platform:
MT4
Indicator:
Moving Average
Been thanked:
57 times

Re: Identify This Indicator

897 by notice
flayy520 wrote: Mon Jun 29, 2020 5:02 am Hi all, everyone know this indicators?
May be Tom Demark trendlines
DeMark_Trendline_Trader.mq4 Downloaded 589 times 25.13 KiB
These users thanked the author notice for the post:
flayy520
Rating: 0.6%
  • Quote
  • Thu Jul 02, 2020 11:23 am
DTRCT
DTRCT
Active Member
Posts:
111
Joined:
August 2018
Location:
Tanzania
Platform:
mt4
Been thanked:
100 times

Re: Identify This Indicator

898 by DTRCT
hercules98 wrote: Fri Jun 26, 2020 7:48 pm perfavore qualcuno ha questo indicatore?
Name of indicator is ATS
Pls download attached
ATS V2.0 User.ex4 Downloaded 722 times 32.46 KiB
ats.jpg
These users thanked the author DTRCT for the post:
hercules98
Rating: 0.6%
  • Quote
  • Fri Jul 03, 2020 8:20 pm
chakweshad
chakweshad
Banned
Posts:
13
Joined:
June 2020
Location:
south africa
Platform:
mt4
Indicator:
binary trader
Been thanked:

Re: Identify This Indicator

899 by chakweshad
Hello, identify this indicator please.
IMG-20200704-WA0004.jpg
  • Quote
  • Sun Jul 05, 2020 12:24 am
User avatar
vvFish
1-Minute Man
Posts:
2459
Joined:
February 2017
Location:
Ukraine
Platform:
MT4
Indicator:
All of them
Been thanked:
2130 times

Re: Identify This Indicator

900 by vvFish
chakweshad wrote: Sun Jul 05, 2020 12:24 am Hello, identify this indicator please.
:think:
Express your request more precisely.
What indicators do you want to determine?
"Only the price on the chart can show the entrance to the deal..."
  • Quote
  • Sun Jul 05, 2020 1:22 am


  • 1
  • …
  • 88
  • 89
  • 90
  • 91
  • 92
  • …
  • 166
Page 90 of 166
1652 posts
Post Reply Attachments 1099

Return to “MT4 Indicators”

Vetis
Re: 🔺 MT5 XARD - Simple Trend Following Trading Sy
it's just to apply template to all open symbols
Vetis, Sat Jan 24, 2026 1:45 am
User avatar
Re: 🔺 MT5 XARD - Simple Trend Following Trading Sy
but does the second apply template indicator alw
Lenovo, Sat Jan 24, 2026 12:43 am
User avatar
Re: Welcome to Stein Investments – Your Edge in Fo
🔥 Power Candles MT5 – Community Feedback Speaks fo
SteinInvestments, Sat Jan 24, 2026 12:39 am
Vetis
Re: 🔺 MT5 XARD - Simple Trend Following Trading Sy
Buy or sell after candle color change you can use
Vetis, Fri Jan 23, 2026 10:49 pm

  • Home
  • Who are we?
  • Media Kit
  • All times are UTC+11:00
  • It is currently Sat Jan 24, 2026 2:12 am
Powered by phpBB® & Gramziu - Web Ops By SiteSplat, Forex Station ©2016 - 2026Your data is secure with us

Login




Register