Nabs wrote: Fri Jan 19, 2024 10:40 pm
Thank you for this thread, i'm in the process of learning ATS, can you tell me what are the criterias that trigger your entry please
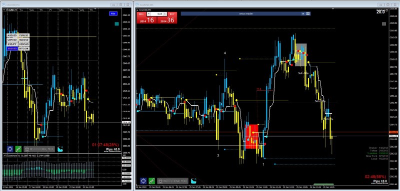
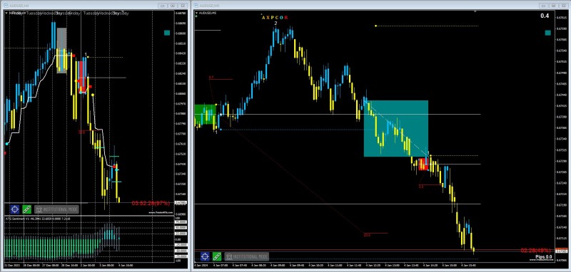
Hey Nabs, yeah sure, you have to first look at your higher timeframe chart lets say you are using H4 and daily as your higher timeframe, you find the directional bias and prediction for the price movements during a day or even 4 hours, after that you look at the 5 min chart to see any framework established or not, expansion box, or fair value.
for the sell entry, if your directional bias is short, you only sell above the fair value line, and for the buy entry, if your directional bias is long you look for buy below the fair value line of the framework.
I hope I explained enough. have nice trades dude
