Re: BINARY OPTIONS TRADING STRATEGY & IDEAS

3159
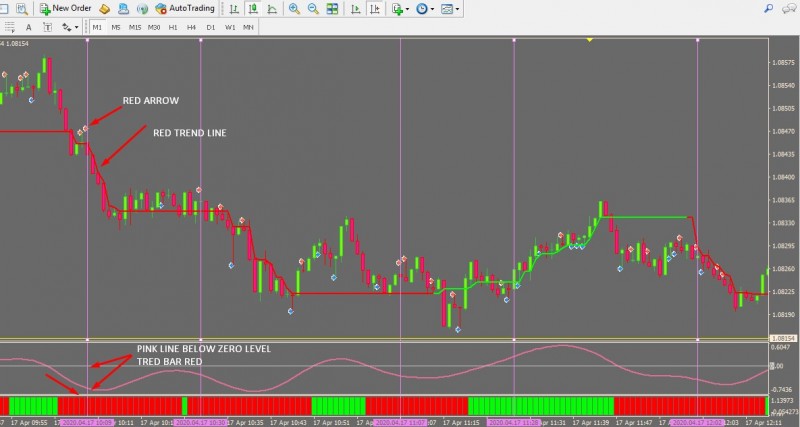
leonard462 wrote: Mon Apr 20, 2020 11:35 pm Hello, sorry .. someone recognizes any indicator that is in the picture?

especially the one circled in yellow with the internal blue arrow ... important.

Thank you.
Don't waste your time on this system but if you still want to then do a search for agimat..its everywhere on the net.

However the subwindow bar chart is useful.