Re: МТ4 Trading Systems: WORKSTATION
332[quote=SilverBB post_id=1295369294 time=1517494549 user_id=4865566]
Without a term
Without a term
Re: МТ4 Trading Systems: WORKSTATION
334CMx Oscillator
Feb 01, 2018
MT4 version of the LUA Original indicator, which is compilation of Moving Average, CCI, ADX и Fibonacci levels.
Formulas:
CMx = CCI*ADX/(L*K), where
ADX - Average Directional Movement Index with Period as Length,
CCI = (Diff-mean)/(meandev*0.015),
mean, meandev - mean and mean deviation of Diff at range from (i-K_Period+1) to i,
Diff = EMA-EMA_K,
EMA - exponential moving average with Period as Length,
EMA_K - exponential moving average with K_Period as Length,
K_Period = Period*K.
Feb 01, 2018
MT4 version of the LUA Original indicator, which is compilation of Moving Average, CCI, ADX и Fibonacci levels.
Formulas:
CMx = CCI*ADX/(L*K), where
ADX - Average Directional Movement Index with Period as Length,
CCI = (Diff-mean)/(meandev*0.015),
mean, meandev - mean and mean deviation of Diff at range from (i-K_Period+1) to i,
Diff = EMA-EMA_K,
EMA - exponential moving average with Period as Length,
EMA_K - exponential moving average with K_Period as Length,
K_Period = Period*K.
Re: МТ4 Trading Systems: WORKSTATION
336Amdudus,Can you put the indicators and template of your system? .Thank you
Re: МТ4 Trading Systems: WORKSTATION
337Have patience. Improvement of the system takes place almost every day.Today the idea of a semi-automatic EA. Under good circumstances, publication plan this month.TravisS wrote: Fri Feb 02, 2018 10:21 pm
Amdudus,Can you put the indicators and template of your system? .Thank you
The publication of the screens make for possible advice from forum members.
Re: МТ4 Trading Systems: WORKSTATION
338Thank Amdudus for so many cool stuff!

Simplicity is the ultimate sophistication - Leonardo da Vinci
Re: МТ4 Trading Systems: WORKSTATION
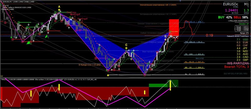
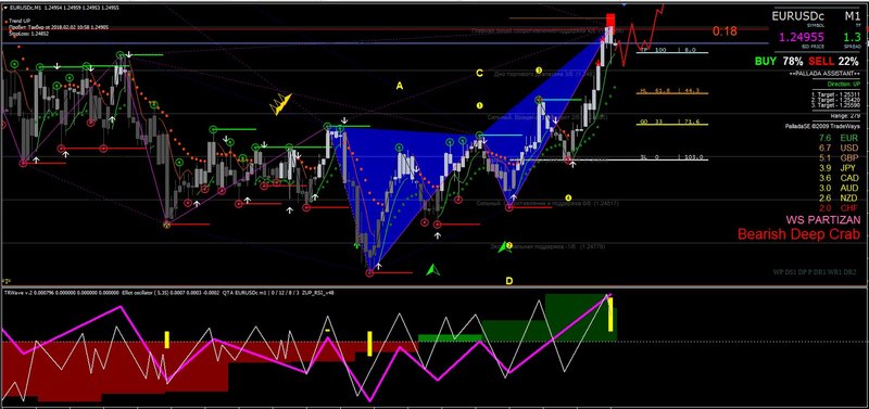
339The ZUP indicator is to identify patterns in automatic mode
Here are all the ZUP indicators that I managed to find all the time on the Internet. Some of them work on the new builds, part no. For your records do not interfere.
Manually finding the setups(graphic patterns) is not easy even for experienced traders, not to mention newcomers. To solve this problem, the Russian developer (nickname nen on the forum onix-trade), a special indicator is ZUP.
When the world first learned about the patterns Gartley, cost this information a lot, his book, published in 1935, was more than the car and produced in limited editions. Now each trader has the opportunity to get acquainted with his trading methods absolutely for free. In the form in which these models came to us, they were obtained after refinement of the ideas proposed by Harold Hartley. Final "polishing" performed Pesavento and Carney. The latter even added to the list of patterns Gartley a few of their own and proved their worth. The main problem of applications of patterns Gartley was the fact that the market is perfect compliance with required ratios between the elements of the figures is virtually nonexistent. In order to work you can take and imperfect formation Pesavento and Gartley and modified the model Gartley.
The introduction of additional relationships between elements of the figure are based on the ratios of Fibonacci levels, allowed us to make the model more flexible. This means that they can be used on the currency market. Harmonic patterns, open and described Gartley and Pesavento and later complemented by other prominent traders provide a great chance to earn. In comparison with the base list the list was greatly expanded, introduced some of the new formation. Today it is possible to use them in trade are not even learning the ratios between key points of the models. The indicators are doing all the construction themselves, and the trader only needs to make decisions about entering the market. Practice shows that when using the models, close-to-perfect about 80-85% of trades closed in plus, and it's worth it.
The main disadvantage of working with Gartley patterns – too inconvenient to monitor several currency pairs, keeping in mind the ratio of approximately ten 5-point models. Besides, sometimes the eyes are just getting "tired" and the trader does not see the obvious. Since the ratios between key points of the patterns provided clear, was created the indicator that performs the graph layout automatically. To date, the best algorithm of this kind can be considered as an indicator ZUP. The indicator itself can be considered a combination of Zigzag and Andrews ' pitchfork and Fibonacci levels. Zigzag plays a major role – specifies the vertices that can be key points of the pattern, Andrews pitchfork, Fibonacci levels and fan are built using these points to verify the relations between them.
At this point in MT4 do not work for all versions. In comparison with the initial versions of the indicator of the difference between the last version – addition of list of recognized models. Now in addition to the standard formations Hartley-Pesavento on chart: all kinds of crabs, butterflies, bats;shark; patterns such as Cypher, Leonardo, Nen Star, Black Swan, White Swan, Navarro. In total allocated more than 20 patterns, although most of them modifications of the standard. The changes were made and geometry patterns, the new version can work with a seven-point patterns. I repeat that not all indicators work with MT4! In the folder I placed all of the ZUP,which I was able to gather on the Internet.Due to the large volume, you can download the indicators with dropbox.
Here are all the ZUP indicators that I managed to find all the time on the Internet. Some of them work on the new builds, part no. For your records do not interfere.
Manually finding the setups(graphic patterns) is not easy even for experienced traders, not to mention newcomers. To solve this problem, the Russian developer (nickname nen on the forum onix-trade), a special indicator is ZUP.
When the world first learned about the patterns Gartley, cost this information a lot, his book, published in 1935, was more than the car and produced in limited editions. Now each trader has the opportunity to get acquainted with his trading methods absolutely for free. In the form in which these models came to us, they were obtained after refinement of the ideas proposed by Harold Hartley. Final "polishing" performed Pesavento and Carney. The latter even added to the list of patterns Gartley a few of their own and proved their worth. The main problem of applications of patterns Gartley was the fact that the market is perfect compliance with required ratios between the elements of the figures is virtually nonexistent. In order to work you can take and imperfect formation Pesavento and Gartley and modified the model Gartley.
The introduction of additional relationships between elements of the figure are based on the ratios of Fibonacci levels, allowed us to make the model more flexible. This means that they can be used on the currency market. Harmonic patterns, open and described Gartley and Pesavento and later complemented by other prominent traders provide a great chance to earn. In comparison with the base list the list was greatly expanded, introduced some of the new formation. Today it is possible to use them in trade are not even learning the ratios between key points of the models. The indicators are doing all the construction themselves, and the trader only needs to make decisions about entering the market. Practice shows that when using the models, close-to-perfect about 80-85% of trades closed in plus, and it's worth it.
The main disadvantage of working with Gartley patterns – too inconvenient to monitor several currency pairs, keeping in mind the ratio of approximately ten 5-point models. Besides, sometimes the eyes are just getting "tired" and the trader does not see the obvious. Since the ratios between key points of the patterns provided clear, was created the indicator that performs the graph layout automatically. To date, the best algorithm of this kind can be considered as an indicator ZUP. The indicator itself can be considered a combination of Zigzag and Andrews ' pitchfork and Fibonacci levels. Zigzag plays a major role – specifies the vertices that can be key points of the pattern, Andrews pitchfork, Fibonacci levels and fan are built using these points to verify the relations between them.
At this point in MT4 do not work for all versions. In comparison with the initial versions of the indicator of the difference between the last version – addition of list of recognized models. Now in addition to the standard formations Hartley-Pesavento on chart: all kinds of crabs, butterflies, bats;shark; patterns such as Cypher, Leonardo, Nen Star, Black Swan, White Swan, Navarro. In total allocated more than 20 patterns, although most of them modifications of the standard. The changes were made and geometry patterns, the new version can work with a seven-point patterns. I repeat that not all indicators work with MT4! In the folder I placed all of the ZUP,which I was able to gather on the Internet.Due to the large volume, you can download the indicators with dropbox.
Re: МТ4 Trading Systems: WORKSTATION
340amdudus wrote: Sat Feb 03, 2018 4:08 am The ZUP indicator is to identify patterns in automatic mode
Here are all the ZUP indicators that I managed to find all the time on the Internet. Some of them work on the new builds, part no. For your records do not interfere.
Manually finding the setups(graphic patterns) is not easy even for experienced traders, not to mention newcomers. To solve this problem, the Russian developer (nickname nen on the forum onix-trade), a special indicator is ZUP.
When the world first learned about the patterns Gartley, cost this information a lot, his book, published in 1935, was more than the car and produced in limited editions. Now each trader has the opportunity to get acquainted with his trading methods absolutely for free. In the form in which these models came to us, they were obtained after refinement of the ideas proposed by Harold Hartley. Final "polishing" performed Pesavento and Carney. The latter even added to the list of patterns Gartley a few of their own and proved their worth. The main problem of applications of patterns Gartley was the fact that the market is perfect compliance with required ratios between the elements of the figures is virtually nonexistent. In order to work you can take and imperfect formation Pesavento and Gartley and modified the model Gartley.
The introduction of additional relationships between elements of the figure are based on the ratios of Fibonacci levels, allowed us to make the model more flexible. This means that they can be used on the currency market. Harmonic patterns, open and described Gartley and Pesavento and later complemented by other prominent traders provide a great chance to earn. In comparison with the base list the list was greatly expanded, introduced some of the new formation. Today it is possible to use them in trade are not even learning the ratios between key points of the models. The indicators are doing all the construction themselves, and the trader only needs to make decisions about entering the market. Practice shows that when using the models, close-to-perfect about 80-85% of trades closed in plus, and it's worth it.
The main disadvantage of working with Gartley patterns – too inconvenient to monitor several currency pairs, keeping in mind the ratio of approximately ten 5-point models. Besides, sometimes the eyes are just getting "tired" and the trader does not see the obvious. Since the ratios between key points of the patterns provided clear, was created the indicator that performs the graph layout automatically. To date, the best algorithm of this kind can be considered as an indicator ZUP. The indicator itself can be considered a combination of Zigzag and Andrews ' pitchfork and Fibonacci levels. Zigzag plays a major role – specifies the vertices that can be key points of the pattern, Andrews pitchfork, Fibonacci levels and fan are built using these points to verify the relations between them.
At this point in MT4 do not work for all versions. In comparison with the initial versions of the indicator of the difference between the last version – addition of list of recognized models. Now in addition to the standard formations Hartley-Pesavento on chart: all kinds of crabs, butterflies, bats;shark; patterns such as Cypher, Leonardo, Nen Star, Black Swan, White Swan, Navarro. In total allocated more than 20 patterns, although most of them modifications of the standard. The changes were made and geometry patterns, the new version can work with a seven-point patterns. I repeat that not all indicators work with MT4! In the folder I placed all of the ZUP,which I was able to gather on the Internet.Due to the large volume, you can download the indicators with dropbox. The link at the bottom. https://www.dropbox.com/s/x2f7err0zkd39 ... P.rar?dl=0
Hi amdudus, may i ask whats the red line coming after the price in the picture?