Re: MT4 Trading Systems (Old or new!) Please post here

511
The historical version ends here. . Please see XARD's thread for follow-up
xard777 wrote: Fri Feb 17, 2017 9:10 pm XARD - Simple Trend Following Trading System

Ideally for use on 1Hr charts.

The Candle colours are as follows...

  • Light Blue for an UPTREND (Candle is above both Blue MA lines).
  • Light Pink for a DOWNTREND (Candle is below both Red MA lines).
  • Candle is Black when the MA line colours are not in sync (i.e. one Blue and one Red).

Ideally, when the Candles are in an UPTREND then you want to be trading Above the Gold colour Daily Open line and when the Candles are in a DOWNTREND you want to be trading Below the Gold Daily Open line.

The Large background Candles on the 1hr chart shows the Daily Candle movement.

You want to be using a broker that has their server set to NY Close.

You have the option to choose your own parameters from within the indicator's input menu to suit your own style of trading.

Enc. MT4 files plus screenshot for your perusal.

All the best

Xard777

Latest version of XARD Trading System: 🆕
October 23 2022 VERSION 46 OF XARD FX SYSTEM

XARD Hyrbrid 4.0 Trading System by BeatlemaniaSA: 🆕
29 July 2022 Xard Hybrid System
A simplified "Red & Green" version of Xard's system using a CCI, minimal charts and growing topic with trading ideas.

FourXXXX's custom TMA Bands Xard Setup:
27 April 2022 FourXXXX's TMA Bands setup V20-V30

Clean Charts version of XARD Trading System:
11 September 2021 Clean Charts (buttons version) by Banzai with toggle On/Off
The cleanest setup of Xard's original system. Good for low-end PC's.

Live Trading Guide PDF for XARD's system:
2 January 2021 XARD System PDF of Live Trades by Fadhayemustafa

List of Currency Pairs for trading Xard Systems:
5 September 2020
Which Currency Pairs/Indices for Xard Trading Systems?


XARD-20170217-ScreenShot.png



xard-forex-system-mt4-May-2020-update-for-intraday-charts.jpg
These users thanked the author Jedidiah for the post (total 4):
yoki, oskar656, knglerxst, SijjiN
Rating: 2.4%
Do not show pity: life for life, eye for eye, tooth for tooth, hand for hand, and foot for foot.
Deuteronomy 19:21


Re: MT4 Trading Systems (Old or new!) Please post here

514
😀 regarding filing or categorisation or archiving or taxonomy, different people will each apply their own point of view and produce different results with the same set of data.
What I am suggesting is that given that there are several pre 2017 xard systems posted by Honje in this thread and since the active xard thread starts from 2017, maybe all these older xard systems could be the subject of a separate thread, to be better categorised and easier to find.
But this is just my opinion..definetely other people might have a different view on the matter

Re: MT4 Trading Systems (Old or new!) Please post here

515
Narutopips wrote: Mon Nov 07, 2022 5:36 am Old you said, i think this is the right threat to post OLD Xards system as the name of this thread implies
Nope, not at all. The Xard systems are already a major part of FX station and posted multiple times all over the place. What's the point to "spam" (i.e. fill up) the rest of the threads. If you want to know, go to the Xard threads or if you got a lot of time to play with (instead of trading and contributing your own stuff), open a separate thread which you can fill up as you like. There are plenty of people here who can show other approaches and this is the place for them to do so. Now I have to go 10 pages back to look at what I want to.
Ok! I hope you may understand that.
These users thanked the author RplusT for the post:
pfxi
Rating: 0.6%


Re: MT4 Trading Systems (Old or new!) Please post here

516
RplusT wrote: Mon Nov 07, 2022 8:52 pm Nope, not at all. The Xard systems are already a major part of FX station and posted multiple times all over the place. What's the point to "spam" (i.e. fill up) the rest of the threads. If you want to know, go to the Xard threads or if you got a lot of time to play with (instead of trading and contributing your own stuff), open a separate thread which you can fill up as you like. There are plenty of people here who can show other approaches and this is the place for them to do so. Now I have to go 10 pages back to look at what I want to.
Ok! I hope you may understand that.
How long have you been my friend?

can you share some of your graphs updated ss? I follow you with interest and curiosity :)

Re: MT4 Trading Systems (Old or new!) Please post here

518
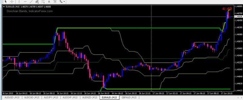
Mounted on M15 TF.

Donchian with settings:
- Yellow period 32 (see price action over the past 8 hours)
- Period 96 Green (see price action over the past 24 hours)

Buy when the price breaks above the upper donchian band period 96 (green).
Sell ​​when price breaks out of the lower donchian band period 96 (green).

Take Profit 5 pips (4 digits) or 50 pips (5 digits)
These users thanked the author DAVID99 for the post (total 2):
Bbq Ribs, ParallelNative
Rating: 1.2%