[quote=sal post_id=1295379876 time=1538583168 user_id=4865228]
Sal, thanks for many ideas, indicators and templates. As you tested much now, can you post the indicators and template of the system you are using for longer with success, preferable non-repainting?
1, 5, 4, rest default on repainting Cycle identifier wAlert1 major.ex4 may be interesting with last ideas. Consider two systems:
one on ranging (up-down waves with oscillators) and one on strong trending markets.
Re: BINARY OPTIONS TRADING STRATEGY & IDEAS
1962thanks dear... let me try...friend4you wrote: Thu Nov 15, 2018 11:17 pm
Interesting concept. Sideways seems to be filtered by many opposite cycle alerts in a row, which settings do you use? Sal uses Super signals as the band indicator. I prefer faster non-repainting atr-bands.
I tested similar spike finder. As vertex repaints, Extreme Cycle 2 indicator can be set up non-repainting. Extreme 3 only the thick lines repaint, I think. I added ! to the names to keep them in front on mt4 navigator.
ATR Bands 2.ex4
! Symphonie_Extreme_Cycle_Indikator2.ex4
! Symphonie Extreme Indicator v3 600__2.ex4
super-signals-channel_alert.ex4
! vertex_mod_3.01 alerts + arrows.ex4
"There is NO GOD higher than TRUTH" - Mahatma Gandhi
Re: BINARY OPTIONS TRADING STRATEGY & IDEAS
1963[quote=friend4you post_id=1295381960 time=1542297232 user_id=4867375]
post snap will understand more..
post snap will understand more..

"There is NO GOD higher than TRUTH" - Mahatma Gandhi
Re: BINARY OPTIONS TRADING STRATEGY & IDEAS
1964I believe "! Symphonie_Extreme_Cycle_Indikator2.ex4" is custom indicator.!!! updated with ATR. Do you have source file.!!.friend4you wrote: Thu Nov 15, 2018 11:17 pm
Interesting concept. Sideways seems to be filtered by many opposite cycle alerts in a row, which settings do you use? Sal uses Super signals as the band indicator. I prefer faster non-repainting atr-bands.
I tested similar spike finder. As vertex repaints, Extreme Cycle 2 indicator can be set up non-repainting. Extreme 3 only the thick lines repaint, I think. I added ! to the names to keep them in front on mt4 navigator.
ATR Bands 2.ex4
! Symphonie_Extreme_Cycle_Indikator2.ex4
! Symphonie Extreme Indicator v3 600__2.ex4
super-signals-channel_alert.ex4
! vertex_mod_3.01 alerts + arrows.ex4
"There is NO GOD higher than TRUTH" - Mahatma Gandhi
Re: BINARY OPTIONS TRADING STRATEGY & IDEAS
1965They are old ones of symphonie ff thread. He does not post changes any more or mq4, I asked him. What do you think of these indicators? Can you post indicators and templates how you trade now as it always depends on strategy how to use these ones? Trends can be REALLY long.sal wrote: Fri Nov 16, 2018 9:10 pm
I believe "! Symphonie_Extreme_Cycle_Indikator2.ex4" is custom indicator.!!! updated with ATR. Do you have source file.!!.
Did anyone find a indicator which predicts reversals very good without repainting?
Re: BINARY OPTIONS TRADING STRATEGY & IDEAS
19662019 releasing stratgey under testing stage... a binary & forex trading stratgey... 

- These users thanked the author sal for the post (total 2):
- nrv, prosperousking
"There is NO GOD higher than TRUTH" - Mahatma Gandhi
Re: BINARY OPTIONS TRADING STRATEGY & IDEAS
1967Hi Sal,sal wrote: Sun Dec 02, 2018 10:47 pm 2019 releasing stratgey under testing stage... a binary & forex trading stratgey...![]()
how about the entry point and exit point rules?
can you share it too...
best regards,
Re: BINARY OPTIONS TRADING STRATEGY & IDEAS
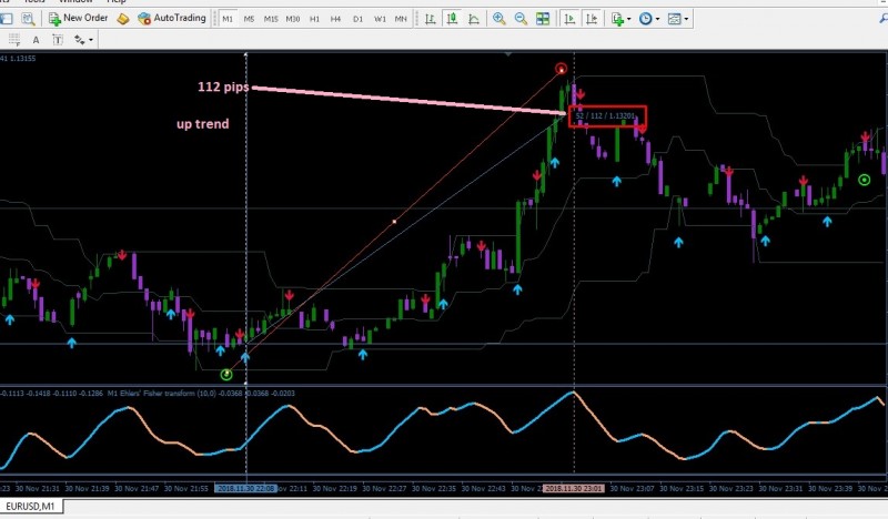
1968see snap.. its very clear... the circule dot (repaint for 2bars) ... after arrow gets in current tf bar (non repaint) , open trade. and when another circular dot appear then next arrow is the trade stope pooint.shinnosuke wrote: Mon Dec 03, 2018 6:17 pm
Hi Sal,
how about the entry point and exit point rules?
can you share it too...
best regards,
my test apx. 1hr to wait to get 100 pips.. but needs to watch market.
"There is NO GOD higher than TRUTH" - Mahatma Gandhi
Re: BINARY OPTIONS TRADING STRATEGY & IDEAS
1969That´s very nice. Please can you tell us the Indicators and their settings ? (Ehlers Fischer is not necessary)sal wrote: Mon Dec 03, 2018 10:25 pm
see snap.. its very clear... the circule dot (repaint for 2bars) ... after arrow gets in current tf bar (non repaint) , open trade. and when another circular dot appear then next arrow is the trade stope pooint.
my test apx. 1hr to wait to get 100 pips.. but needs to watch market.
Many thank´s in advance.
Greetings
Re: BINARY OPTIONS TRADING STRATEGY & IDEAS
1970Great job. Please share.sal wrote: Mon Dec 03, 2018 10:25 pm
see snap.. its very clear... the circule dot (repaint for 2bars) ... after arrow gets in current tf bar (non repaint) , open trade. and when another circular dot appear then next arrow is the trade stope pooint.
my test apx. 1hr to wait to get 100 pips.. but needs to watch market.