• Login
  • Register
    • Unanswered topics
    • Active topics
    • Forex Calendar
  1. Home
  2. Board index
  3. Trading Systems
  4. MT4 Trading Systems

BINARY OPTIONS TRADING STRATEGY & IDEAS

Post Reply Attachments 3481
  1. Home
  2. Board index
  3. Trading Systems
  4. MT4 Trading Systems
  • 1
  • …
  • 164
  • 165
  • 166
  • 167
  • 168
  • …
  • 440
Page 166 of 440
4394 posts
Display posts from previous
Sort by
  • Print view
User avatar
Deez
Accomplished Trader
Posts:
1632
Joined:
August 2017
Location:
South Africa
Platform:
IQ Options
Indicator:
PSA
Been thanked:
681 times

Re: BINARY OPTIONS TRADING STRATEGY & IDEAS

1651 by Deez
:wtf: ....Messing around with STC settings..
Capture.JPG
  • Quote
  • Fri May 25, 2018 3:37 am


User avatar
Deez
Accomplished Trader
Posts:
1632
Joined:
August 2017
Location:
South Africa
Platform:
IQ Options
Indicator:
PSA
Been thanked:
681 times

Re: BINARY OPTIONS TRADING STRATEGY & IDEAS

1652 by Deez
This indi must be repainting....
Capture.JPG
  • Quote
  • Fri May 25, 2018 3:40 am
User avatar
sal
Elite Trader
Posts:
4294
Joined:
February 2017
Location:
UAE
Platform:
MT4
Indicator:
Mine
Been thanked:
1427 times

Re: BINARY OPTIONS TRADING STRATEGY & IDEAS

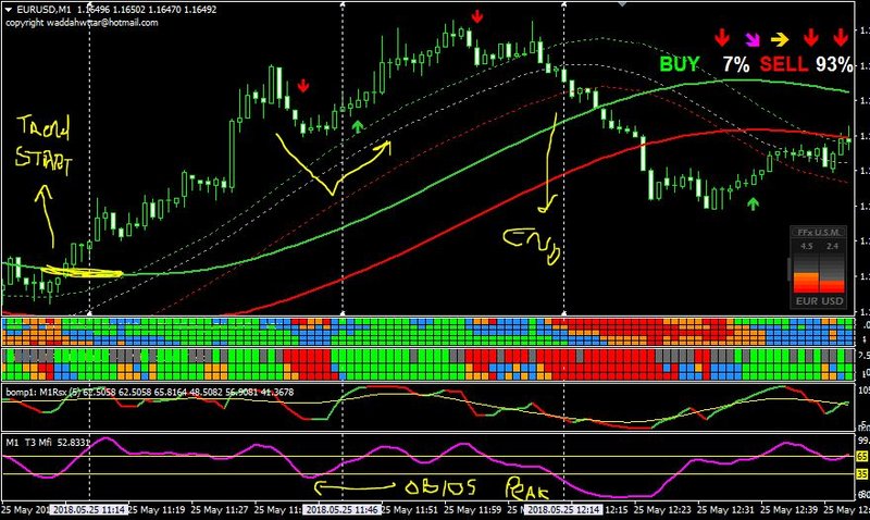
1653 by sal
D1 candle S/R method testing
Screenshot_2.jpg
Screenshot_3.jpg
Screenshot_4.jpg
"There is NO GOD higher than TRUTH" - Mahatma Gandhi
  • Quote
  • Fri May 25, 2018 7:28 pm
User avatar
Deez
Accomplished Trader
Posts:
1632
Joined:
August 2017
Location:
South Africa
Platform:
IQ Options
Indicator:
PSA
Been thanked:
681 times

Re: BINARY OPTIONS TRADING STRATEGY & IDEAS

1654 by Deez
Hey Pacois think you can manage putting an alert on this?
SMA_REVERS [C--].mq4 Downloaded 840 times 10.93 KiB
  • Quote
  • Fri May 25, 2018 9:58 pm
User avatar
pacois
Accomplished Trader
Posts:
1543
Joined:
February 2017
Location:
Island of the world
Been thanked:
957 times

Re: BINARY OPTIONS TRADING STRATEGY & IDEAS

1655 by pacois
Deez wrote: Fri May 25, 2018 9:58 pm Hey Pacois think you can manage putting an alert on this?
SMA_REVERS [C--]Alert.mq4 Downloaded 838 times 13.17 KiB
These users thanked the author pacois for the post:
Deez
Rating: 0.6%
  • Quote
  • Fri May 25, 2018 10:45 pm


User avatar
pacois
Accomplished Trader
Posts:
1543
Joined:
February 2017
Location:
Island of the world
Been thanked:
957 times

Re: BINARY OPTIONS TRADING STRATEGY & IDEAS

1656 by pacois
it goes down, the price drops, nothing rebounds, the martingales fail inexorably ..
GIF9.gif
  • Quote
  • Fri May 25, 2018 11:31 pm
User avatar
Deez
Accomplished Trader
Posts:
1632
Joined:
August 2017
Location:
South Africa
Platform:
IQ Options
Indicator:
PSA
Been thanked:
681 times

Re: BINARY OPTIONS TRADING STRATEGY & IDEAS

1657 by Deez
System ready for live test..hopefully good results at the end of next month.
Capture.JPG
Capture2.JPG
  • Quote
  • Sat May 26, 2018 7:57 pm
User avatar
pacois
Accomplished Trader
Posts:
1543
Joined:
February 2017
Location:
Island of the world
Been thanked:
957 times

Re: BINARY OPTIONS TRADING STRATEGY & IDEAS

1658 by pacois
Deez wrote: Sat May 26, 2018 7:57 pm System ready for live test..hopefully good results at the end of next month.
We are ready, tell us all .. Thanks
  • Quote
  • Sat May 26, 2018 8:17 pm
User avatar
sal
Elite Trader
Posts:
4294
Joined:
February 2017
Location:
UAE
Platform:
MT4
Indicator:
Mine
Been thanked:
1427 times

Re: BINARY OPTIONS TRADING STRATEGY & IDEAS

1659 by sal
Muti chart signal test
SIGNAL @ M5 TF
WAIT FOR ARROW @ M1 TF after sigal of M5TF for open trade
Screenshot_2.jpg
"There is NO GOD higher than TRUTH" - Mahatma Gandhi
  • Quote
  • Sun May 27, 2018 1:32 am
pangU_
pangU_
Inactive Member
Posts:
2
Joined:
May 2018
Platform:
MT4, TOS
Been thanked:

Re: BINARY OPTIONS TRADING STRATEGY & IDEAS

1660 by pangU_
Pava wrote: Wed May 23, 2018 11:56 am
Wait til' u trade it on real account...IT IS FANTASTIK!...Win after win after win...non-stop!
indeed awesome just got 454354 wins in a row on demo
  • Quote
  • Sun May 27, 2018 11:34 am


  • 1
  • …
  • 164
  • 165
  • 166
  • 167
  • 168
  • …
  • 440
Page 166 of 440
4394 posts
Post Reply Attachments 3481

Return to “MT4 Trading Systems”

User avatar
Re: 🔺 MT5 XARD - Simple Trend Following Trading Sy
Here is the updated setup on one post It includes
xard777, Tue Feb 17, 2026 5:25 pm
User avatar
Re: Ehlers Indicators for MT4
Good evening Kvak!! How are you? In my tireless
RodrigoRT7, Tue Feb 17, 2026 4:09 pm
lainIwakura999
Re: MT4 Indicator requests and ideas
I am pretty sure from what I have read in the fo
lainIwakura999, Tue Feb 17, 2026 3:41 pm
kenshin281180#
Re: SOLOTRENDX!!!! YOUR FOREX/FUTURES/CRYPTO & PR
STX in action!!! Feb 16th 2026 https://forms.gle/
kenshin281180#, Tue Feb 17, 2026 1:17 pm

  • Home
  • Who are we?
  • Media Kit
  • All times are UTC+11:00
  • It is currently Tue Feb 17, 2026 5:38 pm
Powered by phpBB® & Gramziu - Web Ops By SiteSplat, Forex Station ©2016 - 2026Your data is secure with us

Login




Register