Re: XARD - Simple Trend Following Trading System in

11421
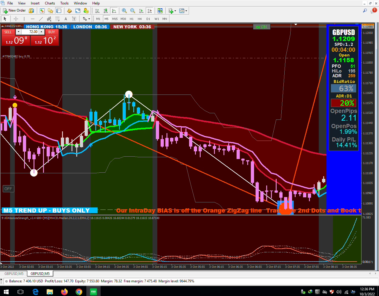
FourXXXX wrote: Tue Sep 27, 2022 9:11 pm The direction of the trend is shown by a second dot and a second dot is simply a higher low or a lower high. If the market is making lower highs and lower lows the trend is down, if it is making higher highs and higher lows the trend is up. So the reason we use second dots is so that you have a confirmed trend as the second dot is a lower high or a higher low, add a second confirmation using moving averages and you have a strong signal to buy or sell.

The movement of dots is very predictable, if the market is making new highs and you have a larger dot appear it will move higher if price moves higher. You need to keep in mind that under every large dot is all the dots of every size smaller than it, but you only see the smaller ones appear when the larger one moves. A dot will stop moving higher if a dot of the same size forms at the low of a retracement. So when you see a large dot at the high and the market retraces and a small dot appears at the low of the retracement what will happen when price moves higher than the previous high??? The large dot will move to the new high and a smaller dot will remain at that spot.

Another thing about dots is that size matters, each larger size is showing a high or low from a higher time frame. The bigger the dot the higher the time frame it is from and therefore the more significant is, each dot is showing levels of support and resistance. Also you not only have second dots of the small size, you also count larger dots as if the smaller ones are not there. Second dots from larger dots are a stronger indication than smaller dots.


Image



When you look at a chart think about what will the dots do if price moves up and what will happen if price moves down. It is not hard to do if you follow what I have written above, soon it will become second nature and you will not need to think about it much.
Many thanks to Mr. FourXXXX for explaining the application mode of the system in detail! !
These users thanked the author Frankw for the post:
XXXX
Rating: 0.6%




Re: XARD - Simple Trend Following Trading System

11426
rogeryrogery wrote: Mon Oct 03, 2022 3:11 am I think whole purpose of background is to make sure you stay in trend as bigger time frame - no point taking counter trends. If you really want to take those counter trade nothing stopping you. :D
/file.php?id=3441961[/img][/url]
Thank you for your answer. I use this for trend recognition of higher time frames not for counter trading.
much pips for you :)
These users thanked the author marwilli for the post:
StuartWong
Rating: 0.6%
we can't change the wind, but we can set the sails differently

IdeaRe: XARD - Simple Trend Following Trading System

11428
No matter what xard posts if you fallow long enough iam sure some of you will master one day.
trade the profitable months in the spreadsheet. and enjoy in between to save your money.
xard777 wrote: Sat Sep 10, 2022 7:30 pm Update XU v39-Setup

This version should be easier to trade.
It is designed for Indices but should work on currencies and commodities.
I have added my latest version of "The Art of Compounding" spreadsheet which now includes sheets for Feb, Mar, and Apr trading months.
Enjoy!
Xard777
Image

Re: XARD - Simple Trend Following Trading System

11430
marwilli wrote: Sun Oct 02, 2022 11:55 pm Of course you can now ask, why don't you use XU-13?
a reason:
the performance of XU setups is not so good on computers with a weaker CPU. if you have 3-4 charts open, the cpu load is too high.
Although some functions can be hidden in the setups, they are still calculated in the background by the CPU. For example Xmath or daily open line/(zigzag cannot be hidden although an option is available).

another reason:
there are many users who do not have a 60 inch monitor at their disposal.
for me, the XU setups are not filigree enough to scale them to a smaller monitor. see picture
but ultimately it is individual and a matter of taste.
Image
Hmm... I'm fairly new to Xard systems so I didn't know they require decent PC specs. I'm on a 27-inch 1440p monitor and I've never had display issues. The only thing that I do is zoom in/out every now and then especially if I want to check RSI line crossover. My CPU is a Ryzen 5 5600X and load never goes above 8% when I have charts open and right now I have 14 charts open, five are XU-13/38 (don't need really need them since XU-39 was released), five are XU-39, one is beatle3.2 xard35 hybrid, two have some indicators I'm still looking at but don't really need and one is just a plain chart with no indicators.
These users thanked the author Coolcrow for the post:
Jedidiah
Rating: 0.6%