Attachments forums

List of attachments posted on this forum.


All files on forums: 164917

Re: No Nonsense Forex - Indicators

Centaur, Sat Nov 12, 2022 9:19 pm

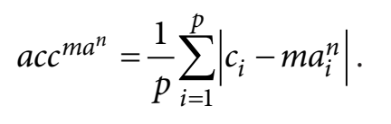
Optimizing the Smoothness and Accuracy of Moving Average for Price Data
We cannot compare moving averages by period as a similarity measure. To solve this problem we introduce a new comparison measure – accuracy (acc). We define accuracy as the difference between current value and moving average value at that point.

p is the time series length and n is a moving average period. This estimate explains how the moving average is missing the price on average. We will call “average accuracy” simply “accuracy” . Smaller accuracy values are better.

The other comparative measure is smoothness. It is defined below (smo). In other words smoothness represents the extent to which the moving average is smooth,
and how much it changes direction. The smaller the smoothness value, the better it is.

In MT5 one can optimize for a custom performance metric max. So ideally a good MA is one that is accurate (close to its dataset - the closer the less lag) and as smooth as possible (not reacting to every false up and down movement), so I recommend combining these two measures in the following format: 1/(acc Ă— smo). The reason for the inverse is because the build in solver is for max custom, and not min. In essence the smaller the combination of acc Ă— smo the higher the inverse value will be.

With this performance metric one can actually replace the original dataset of any indicator with the best performing MA for a massive increase in smoothness and accurate entries e.g. RSI
All files in topic