Attachments forums

List of attachments posted on this forum.


All files on forums: 165037

Re: BINARY OPTIONS TRADING STRATEGY & IDEAS

wolfzeacker, Thu Jul 21, 2022 1:35 am

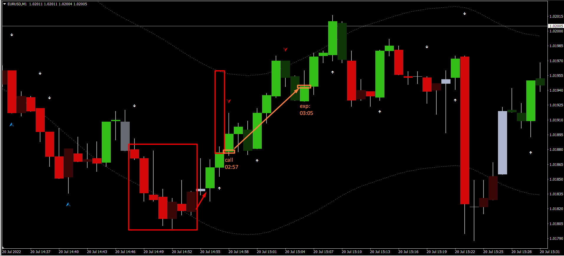
call
price changed color recently.
It's near the bottom band.
there is space between the candle with the arrow and the upper band.

put
price changed color recently.
It's near the upper band.
there is space between the candle with the arrow and the bottom band.

expiration time: end of the next candlestick of the timeframe above the current one.

example:
timeframe: M1
trade entry > 02:57
expiration > 03:05

end of current 5 minute candle : 02:55
close of the next 5-minute candle: 03:05
All files in topic