Attachments forums

List of attachments posted on this forum.


All files on forums: 162953

Re: BINARY OPTIONS TRADING STRATEGY & IDEAS

Amunra5, Wed Jul 22, 2020 4:17 pm

to the moderators/eligible coders of this thread:

quick question.

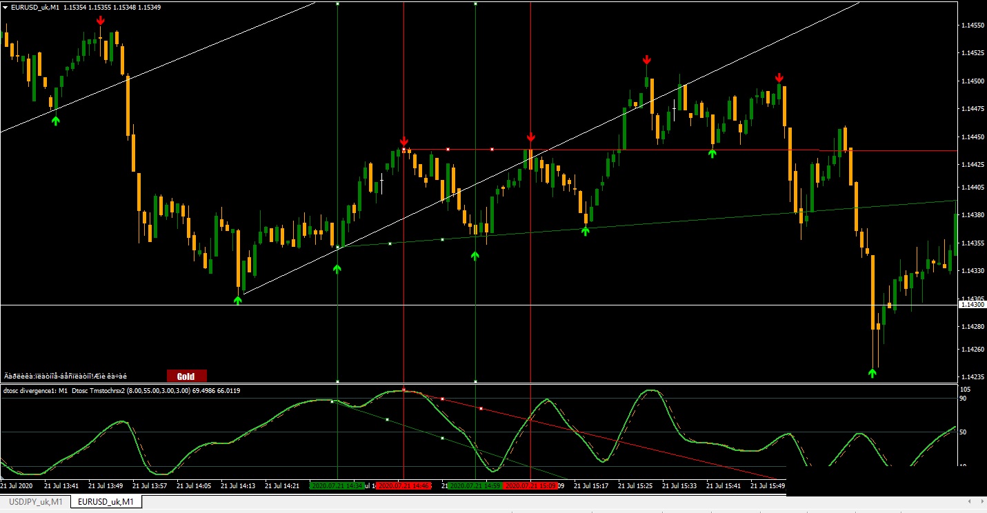
when you add divergence to an indicator, the indi is the independent variable (price is dependent of course) and a line appears on the High or Low of the indicator, then a corresponding line appears on the price (main window).

is it possible however to have it the other way around? im not sure if im making sense lol.

for instance this indicator signal arrows. like if the arrow appears, a line is drawn between the previous high to current high, then a corresponding divergence line is generated on the subwindow (2nd indicator).

since the signal arrow will be the independent variable and the 2nd indi on the subwindow the dependent variable.
see pic.

is it possible? or there will be conflict somewhere?

picture 2: the divergence that subwindow indicator will generate based on its highs/lows
picture 3: the divergence based on signal arrow highs/lows
All files in topic